- 雷达液位计料位计系列产品
- 压力/液位/差压/密度变送器
- 液位仪表系列
- 流量仪表系列
- 物位仪表系列
- 液位/温度/压力/流量-报警仪
- PLC/DCS自动化控制监控系统
- GPRS无线远传装置
- 有纸/无纸记录仪系列
- 温度仪表系列
- 分析仪|检测仪|校验仪系列
全国销售热线:400-9280-163
电话:86 0517-86917118
传真:86 0517-86899586
销售经理:1560-1403-222 (丁经理)
??? ? ? ? 139-1518-1149 (袁经理)
业务QQ:2942808253 / 762657048
网址:http://www.d-angle.cn
电话:86 0517-86917118
传真:86 0517-86899586
销售经理:1560-1403-222 (丁经理)
??? ? ? ? 139-1518-1149 (袁经理)
业务QQ:2942808253 / 762657048
网址:http://www.d-angle.cn
一体化孔板流量计产品特点及检验安装调试过程
发表时间:2017-10-30 ??点击次数:1887? 技术支持:1560-1403-222
一体化孔板蒸汽流量计是测量流量的差压发生装置,配合各种差压计或差压变送器可测量管道中各种流体的流量。孔板流量计节流装置包括环室孔板,喷嘴等。孔板流量计节流装置与差压变送器配套使用,可测量液体、蒸汽、气体的流量,孔板流量计**应用于石油、化工、冶金、电力、轻工等部门。
一体化孔板蒸汽流量计是集流量、温度、压力检测功能于一体,并能进行温度、压力自动补偿的新一代孔板流量计,该孔板流量计采用的微机技术与微功耗新技术,功能强,结构紧凑,操作简单,使用方便。
一体化孔板流量计的调试分为现场校验和现场调试两部分,现场校验包括变送器的校验和节流装置的检验,现场调试包括一体化孔板流量计的投用、变送器的参数设置和故障处理。
1. 组成
一体化孔板流量计是由节流装置(或差压流量传感器)a和差压计(或差压变送器及显
示仪表) b两部分组成。a, b之间是由差压信号管路c连接。节流装置包括节流件、取压装置和前后测量管。节流件:标准孔板、标准喷嘴、长径喷嘴、1/4圆孔板、双重孔板、偏心孔板、圆缺孔板、锥形入口孔板等。一体化孔板流量计的组成见图1,实物图如图2.


2. 工作原理
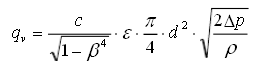
一体化孔板流量计是以伯努利方程和流动连续性方程为依据,当流体流经节流件(或传感器)时,在其两侧产生差压,而这一差压与流量的平方成正比。
流量公式:
其中:
c——流出系数 无量纲
d——工作条件下节流件的节流孔或喉部直径mm
D——工作条件下上游管道内径mm
Qv——体积流量m3/s
β——直径比d/D 无量纲
ρ——流体密度kg/m3
ε——可膨胀性系数 无量纲
3. 结构特点
3.1 优点
(1)节省安装构造易于复制,简略、结实,功能可靠,性价比高;
(2)孔板核算采用国内规范与加工,检测件和差压显示仪表可分开不同厂家生产,便与**化规模生产;
(3)应用范围广,包括全部单相流体(液、气、蒸汽)、部分混相流,一般生产过程的管径、工作状态(温度、压力)皆有产品;
(4)一体型孔板装置更简略,无须引压管,可直接接差压变送器和压力变送器。
3.2缺点
(1)测量的重复性、精确度在流量计中属于中等水平,由于众多因素的影响错综复杂,精确度难于提高。
(2)范围度窄,由于流量系数与雷诺数有关,一般范围度仅3∶1 ~ 4∶1;
(3)有较长的直管段长度要求,一般难于满足,尤其对较大管径,问题更加突出;
(4)压力损失大;
(5)孔板以内孔锐角线来保证精度,因此对腐蚀、磨损、结垢、脏污敏感,长期使用精
度难以保证,需每年拆下强检一次;
(6)采用法兰连接,易产生跑、冒、滴、漏问题,大大增加了维护工作量。
4. 一体化孔板流量计的校验
4.1 节流装置的检验
节流装置的检验应包括对节流件、取压装置及对上、下游管道的几何检验。
4.1.1 标志
节流装置或传感器的明显部位应有流向标志,还应有铭牌。铭牌上注明制造厂名;产品名称及型号;制造日期和编号;公称通径;工作压力;节流件孔径。
4.1.2 随机文件
节流装置及传感器应有设计计算书及使用说明书。
4.1.3 管道
节流装置安装在两段有恒定横截面的圆筒形直管段之间,在此中间无本规程规定之外的障碍和联接支管(无论有无流体进人或流出这种支管)管道应是直的,不得有肉眼可见的弯曲。管道内表面(至少在节流件上游10D和下游4D的范围内)应清洁,并且应满足有关粗糙度的规定。
4.1.4 孔板
孔板的检验主要包括:上游端面的平面度及表面粗糙度、厚度E及开孔圆筒形长度、边缘、节流孔直径d、出口斜角ψ
4.2 变送器的校验
4.2.1 外观检查
在变送器的明显部位有铭牌。铭牌文字、符号完整、清晰,注明变送器名称、型号及标格,量程及可调范围,公称压力,输出信号,准确度等级、计量器具生产许可证标志及编号;供电(气)源,制造厂名及出厂日期编号;若是防爆型的变送器应有防爆等级标志及防爆合格证编号,另附使用说明书;正、负压室应有明显标记;变送器表面色泽均匀,涂镀层光洁,无明显伤痕等;可动部件灵活可靠,紧固件不得有松动和损伤现象;密封性:正、负压室同时承受公称压力持续一定时间,变送器不得泄漏和损坏。
4.2.2 绝缘检查
电源端子与接地(机壳)端子>50MW
电源端子与输出端子>50MW
输出端子与接地(机壳)端子>20MW
4.2.3 示值检定及误差计算
变送器现场示值校验按图3连接。

校验前仪表预热15min以上,预热后输入差压信号进行不少于3次的全范围移动,然后在变送器输出量程内,选择不少于5个检定点,包括上、下限值(或上限值的10%和90%附近)进行试验,并记下变送器检定前的输出值。检定前允许调整输出下限值和量程。在检定时输出信号要缓慢平稳地按同一个方向逼近检定点,3s后读取输出信号的实测值。从下限至上限是上行程,从上限至下限是下行程,上、下行程为一个循环。基本误差检定至少取1个循环;回程误差取1至3个循环;需要做重复性时至少取3个循环。将全部数据记人记录表,并计算基本误差和回程误差。
5.一体化孔板流量计的安装
一体化孔板流量计的安装应符合自动化仪表工程施工及验收规范(GB50093-2002)
中流量取源部件的安装规定,即:
测量气体流量时,取压口在管道的上半部;
测量液体流量时,在管道的下半部与管道的水平中心线成0~45°夹角的范围内;
测量蒸汽流量时,在管道的上半部与管道水平中心线成0~45°夹角的范围内;
图4是马鞍山钢铁苯加氢工程氮气管道一体化孔板流量计实际的安装图,图5是苯加氢工程除盐水管道一体化孔板流量计实际的安装图。

6. 一体化孔板流量计的参数设置及投用
6.1 参数设置
线路检查无误,然后进行上电运行,确认变送器处于正常运作中,通过通讯器与变送器进行通讯,检查和修改变送器参数设置,主要包括:测量范围、输出/内藏仪表显示模式、工作模式和变送器故障时输出状态设定等。
6.2 变送器投用
变送器三阀组的投入步骤如下:
1)关闭正压阀;
2)打开平衡阀;
3)关闭负压阀;
4)将表堵头螺钉松开排堵;
5)检查并调整仪表零位;
6)投用及清洁现场。
7. 工程中常见问题及处理方法
工程中常见的问题及处理方法如表1.


上一条:关于涡街流量计在含气液体介质测量中的试验研究
下一条:涡街流量计在测量过程中对于管道的变径整流器应用分析
一体化孔板蒸汽流量计是集流量、温度、压力检测功能于一体,并能进行温度、压力自动补偿的新一代孔板流量计,该孔板流量计采用的微机技术与微功耗新技术,功能强,结构紧凑,操作简单,使用方便。
一体化孔板流量计的调试分为现场校验和现场调试两部分,现场校验包括变送器的校验和节流装置的检验,现场调试包括一体化孔板流量计的投用、变送器的参数设置和故障处理。
1. 组成
一体化孔板流量计是由节流装置(或差压流量传感器)a和差压计(或差压变送器及显
示仪表) b两部分组成。a, b之间是由差压信号管路c连接。节流装置包括节流件、取压装置和前后测量管。节流件:标准孔板、标准喷嘴、长径喷嘴、1/4圆孔板、双重孔板、偏心孔板、圆缺孔板、锥形入口孔板等。一体化孔板流量计的组成见图1,实物图如图2.


2. 工作原理
一体化孔板流量计是以伯努利方程和流动连续性方程为依据,当流体流经节流件(或传感器)时,在其两侧产生差压,而这一差压与流量的平方成正比。
流量公式:

其中:
c——流出系数 无量纲
d——工作条件下节流件的节流孔或喉部直径mm
D——工作条件下上游管道内径mm
Qv——体积流量m3/s
β——直径比d/D 无量纲
ρ——流体密度kg/m3
ε——可膨胀性系数 无量纲
3. 结构特点
3.1 优点
(1)节省安装构造易于复制,简略、结实,功能可靠,性价比高;
(2)孔板核算采用国内规范与加工,检测件和差压显示仪表可分开不同厂家生产,便与**化规模生产;
(3)应用范围广,包括全部单相流体(液、气、蒸汽)、部分混相流,一般生产过程的管径、工作状态(温度、压力)皆有产品;
(4)一体型孔板装置更简略,无须引压管,可直接接差压变送器和压力变送器。
3.2缺点
(1)测量的重复性、精确度在流量计中属于中等水平,由于众多因素的影响错综复杂,精确度难于提高。
(2)范围度窄,由于流量系数与雷诺数有关,一般范围度仅3∶1 ~ 4∶1;
(3)有较长的直管段长度要求,一般难于满足,尤其对较大管径,问题更加突出;
(4)压力损失大;
(5)孔板以内孔锐角线来保证精度,因此对腐蚀、磨损、结垢、脏污敏感,长期使用精
度难以保证,需每年拆下强检一次;
(6)采用法兰连接,易产生跑、冒、滴、漏问题,大大增加了维护工作量。
4. 一体化孔板流量计的校验
4.1 节流装置的检验
节流装置的检验应包括对节流件、取压装置及对上、下游管道的几何检验。
4.1.1 标志
节流装置或传感器的明显部位应有流向标志,还应有铭牌。铭牌上注明制造厂名;产品名称及型号;制造日期和编号;公称通径;工作压力;节流件孔径。
4.1.2 随机文件
节流装置及传感器应有设计计算书及使用说明书。
4.1.3 管道
节流装置安装在两段有恒定横截面的圆筒形直管段之间,在此中间无本规程规定之外的障碍和联接支管(无论有无流体进人或流出这种支管)管道应是直的,不得有肉眼可见的弯曲。管道内表面(至少在节流件上游10D和下游4D的范围内)应清洁,并且应满足有关粗糙度的规定。
4.1.4 孔板
孔板的检验主要包括:上游端面的平面度及表面粗糙度、厚度E及开孔圆筒形长度、边缘、节流孔直径d、出口斜角ψ
4.2 变送器的校验
4.2.1 外观检查
在变送器的明显部位有铭牌。铭牌文字、符号完整、清晰,注明变送器名称、型号及标格,量程及可调范围,公称压力,输出信号,准确度等级、计量器具生产许可证标志及编号;供电(气)源,制造厂名及出厂日期编号;若是防爆型的变送器应有防爆等级标志及防爆合格证编号,另附使用说明书;正、负压室应有明显标记;变送器表面色泽均匀,涂镀层光洁,无明显伤痕等;可动部件灵活可靠,紧固件不得有松动和损伤现象;密封性:正、负压室同时承受公称压力持续一定时间,变送器不得泄漏和损坏。
4.2.2 绝缘检查
电源端子与接地(机壳)端子>50MW
电源端子与输出端子>50MW
输出端子与接地(机壳)端子>20MW
4.2.3 示值检定及误差计算
变送器现场示值校验按图3连接。

校验前仪表预热15min以上,预热后输入差压信号进行不少于3次的全范围移动,然后在变送器输出量程内,选择不少于5个检定点,包括上、下限值(或上限值的10%和90%附近)进行试验,并记下变送器检定前的输出值。检定前允许调整输出下限值和量程。在检定时输出信号要缓慢平稳地按同一个方向逼近检定点,3s后读取输出信号的实测值。从下限至上限是上行程,从上限至下限是下行程,上、下行程为一个循环。基本误差检定至少取1个循环;回程误差取1至3个循环;需要做重复性时至少取3个循环。将全部数据记人记录表,并计算基本误差和回程误差。
5.一体化孔板流量计的安装
一体化孔板流量计的安装应符合自动化仪表工程施工及验收规范(GB50093-2002)
中流量取源部件的安装规定,即:
测量气体流量时,取压口在管道的上半部;
测量液体流量时,在管道的下半部与管道的水平中心线成0~45°夹角的范围内;
测量蒸汽流量时,在管道的上半部与管道水平中心线成0~45°夹角的范围内;
图4是马鞍山钢铁苯加氢工程氮气管道一体化孔板流量计实际的安装图,图5是苯加氢工程除盐水管道一体化孔板流量计实际的安装图。

6. 一体化孔板流量计的参数设置及投用
6.1 参数设置
线路检查无误,然后进行上电运行,确认变送器处于正常运作中,通过通讯器与变送器进行通讯,检查和修改变送器参数设置,主要包括:测量范围、输出/内藏仪表显示模式、工作模式和变送器故障时输出状态设定等。
6.2 变送器投用
变送器三阀组的投入步骤如下:
1)关闭正压阀;
2)打开平衡阀;
3)关闭负压阀;
4)将表堵头螺钉松开排堵;
5)检查并调整仪表零位;
6)投用及清洁现场。
7. 工程中常见问题及处理方法
工程中常见的问题及处理方法如表1.


上一条:关于涡街流量计在含气液体介质测量中的试验研究
下一条:涡街流量计在测量过程中对于管道的变径整流器应用分析
- 相关文章
-
- 雷达液位计的作用 【2025-11-18】
- 雷达液位计使用注意事项 【2025-11-18】
- 雷达液位计安装注意事项全解析 【2025-11-14】
- 雷达液位计工作原理及相关说明 【2025-11-14】
- 液位变送器两根线接法 【2024-01-06】
- 电磁流量计厂家详述仪表的衬里与电极、产品型号的选择 【2018-03-05】
- 液位变送器内置电池 【2023-12-27】
- 安装与使用超声波流量计时信号输出故障解决方法问答(二) 【2015-05-02】
- 安装与使用超声波流量计时需要遵守的操作规范问答(一) 【2015-05-01】
- 读完此文你就能弄懂了电磁流量计选型安装和使用要点 【2019-07-30】








