- 雷达液位计料位计系列产品
- 压力/液位/差压/密度变送器
- 液位仪表系列
- 流量仪表系列
- 物位仪表系列
- 液位/温度/压力/流量-报警仪
- PLC/DCS自动化控制监控系统
- GPRS无线远传装置
- 有纸/无纸记录仪系列
- 温度仪表系列
- 分析仪|检测仪|校验仪系列
电话:86 0517-86917118
传真:86 0517-86899586
销售经理:1560-1403-222 (丁经理)
??? ? ? ? 139-1518-1149 (袁经理)
业务QQ:2942808253 / 762657048
网址:http://www.d-angle.cn
超声波流量计在测量过程中的弯管误差分析以及修正研究
超声波流量计因为具有非接触测量、计量准确度高、运行稳定、无压力损失等诸多优点,目前怩在工业检测领域有着**的应用,市场对于相关产品的需求十分地旺盛。伴随着上个世纪80年代电子技术和传感器技术的迅猛发展,对于超声波流量计的基础研究也在不断地深入,与此相关的各类涉及到人们生产与生活的新产品也日新月异,不断出现。目前对于超声波流量计测量精度的研究主要集中在3个方面:包括信号因素、硬件因素以及流场因素这三点。由于超声波流量计对流场状态十分敏感,实际安装现场的流场不稳定会直接影响流量计的测量精度。对于超声波流量计流场研究多采用计算流体力学(CFD)的方法,国内外诸多学者对超声波流量计在弯管流场情况下进行数值仿真,并进行了实验验证。以往的研究主要是针对规避安装效应的影响。不过在一些中小口径超声波流量计的应用场合,因为受到场地的限制,弯管下游缓冲管道不足,流体在流经弯管后不能充分发展,检测精度受到弯管下游径向二次流分速度的极大影响,安装效应需要评估,并研究相应的补偿方法。
本研究采用CFD仿真分析90°单弯管下游二次流误差形成原因,并得出误差的计算公式,定量地分析弯管下游不同缓冲管道后,不同雷诺数下的二次流误差对测量精度的影响,终得到误差的修正规律。通过仿真发现,弯管出口处**和底端的压力差与弯管二次流的强度有关,提出在实际测量中可通过测得此压力差来对二次流误差进行修正的方法。该研究可用于分析其他类型的超声波流量计的误差分析,对超声波流量计的设计与安装具有重要意义。
二、测量原理与误差形成
1.1 超声波流量计测量原理
本研究针对一款双探头时差法超声波流量计。时差法是利用声脉冲波在流体中顺向与逆向传播的时间差来测量流体流速。双探头超声波流量计原理图如图1所示。

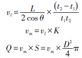
顺向和逆向的传播时间为t1 和t2 ,声道线与管道壁面夹角为θ ,管道的横截面积为S ,声道线上的线平均流速vl 和体积流量Q 的表达式:

式中:L —超声波流量计两个探头之间的距离;D —管道直径;vm —管道的面平均流速,流速修正系数K 将声道线上的速度vl 修正为截面上流体的平均速度vm 。
1.2 二次流误差形成原因
流体流经弯管,管内流体受到离心力和粘性力相互作用,在管道径向截面上形成一对反向对称涡旋如图2所示,称为弯管二次流。有一无量纲数,迪恩数Dn 可用来表示弯管二次流的强度。当管道模型固定时,迪恩数Dn 只与雷诺数Re 有关。研究发现,流速越大,产生的二次流强度越大,随着流动的发展二次流逐渐减弱。

式中:d —管道直径,R —弯管的曲率半径。弯管下游形成的二次流在径向平面的流动,产生了弯管二次流的垂直误差和水平误差。声道线上二次流速度方向示意图如图3所示。本研究在声道线路径上取两个观察面A和B,如图3(a)所示;声道线穿过这两个二次流面的位置为a和b,如图3(b)所示。可见由于声道线穿过截面上涡的位置不同,作用在声道线上的二次流速度方向也不同,如图3(c)所示。其中,径向平面二次流速度在水平方向( X 方向)上的分速度,方向相反。

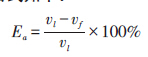
由于超声波流量计的安装,声道线均在轴向平面,这导致系统无法检测到与轴向平面垂直的二次流垂直分速度(Y 方向),产生了二次流的垂直误差Ea,得到Ea 的计算公式如下:

式中:vf —声道线在轴向平面上的速度。
二次流水平速度(X 方向的分速度)直接影响了超声波流量计的轴向检测平面,对检测造成了非常大的影响。声道线在空间上先后收到方向相反的二次流水平速度的作用,这在很大程度上削弱了误差。但反向速度并不完全相等,且超声波流量计是按固定角度进行速度折算的,超声波传播速度vs 对应地固定为轴向流速为vd ,而其真实流速为vf ,由此二次流径向两个相反的水平速度,分别导致了Δv1(如图4(a)所示)和Δv2(如图4(b)所示)两个速度变化量,其中Δv1 导致测得的流速偏大,Δv2 导致测得的流速偏小,两个误差不能抵消,产生二次流的水平误差Eb :


式中:vx —声道线线上X 方向的分速度即二次流水平速度,vz —Z 方向的分速度即主流方向分速度。
三、数值仿真
2.1 几何模型
几何模型采用的是管径为50 mm的管道,弯管流场几何模型示意图如图5所示。其由上游缓冲管道、弯管、下游缓冲管道、测量管道、出口管道5 部分构成。全美气体联合会(AGA)发表的5AGA-96建议,在弯管流场的下游保留5倍管径的直管作为缓冲,但有研究表明这个距离之后二次流的作用仍十分明显。
据此,笔者设置流量计的3个典型安装位置来放置测量管道,分别距上游弯道为5D,10D,20D。本研究在弯管出口处顶部和底部分别设置观测点,测量两点压力,得到两点的压力差。
2.2 仿真与设定
在仿真前,笔者先对几何模型进行网格划分。网格划分采用Gambit软件,划分时,顺序是由线到面,由面到体。其中,为了得到更好的收敛性和精度,面网格如图6所示。其采用钱币画法得到的矩形网格,体网格如图7所示。其在弯道处加深了密度。网格数量总计为1.53×106。画好网格后,导入Fluent软件进行计算,进口条件设为速度进口,出口设为outflow,介质为空气。研究结果表明,湍流模型采用RSM时与真实测量接近[8],故本研究选择RSM模型。
为了排除次要因素的干扰,将仿真更加合理化,本研究进行如下设定:①几何模型固定不变,声波发射角度设置为45°;②结合流量计的实际量程,将雷诺数(Re)设置为从3000~50000,通过改变进口速度,来研究Re 对测量精度的影响;③由于Fluent是无法将声波的传播时间引入的,对于声道线上的速度,笔者采用提取声道线每个节点上的速度,然后进行线积分的方法计算。
四、仿真结果分析与讨论
3.1 误差分析与讨论
弯管下游缓冲管道各典型位置(5D,10D,20D)二次流垂直误差如图8(a)所示,当下游缓冲管道为5D时,二次流垂直误差基本可以分为两个阶段,起初,误差随着Re 的增大而增大,在Re 值13 000之前,增幅明显,当Re 值在13 000~16 000时,增幅趋于平缓。在经过Re 值16 000这个顶峰后,误差反而随着Re 值的增大而减小。当下游缓冲管道为10D 时,误差总体上随着Re 的增大而增大,在Re 值14 000之前处于增幅明显的上升趋势,从Re 值14 000之后增幅开始减小。下游缓冲管道为20D 时,误差随Re 值增大而增大,增幅缓慢,且并不十分稳定,这是由于二次流在流经20D时,已经发生衰减,二次流状态不是很稳定。二次流水平误差如图8(b)所示,其非常显著的特点是误差出现了正、负不同的情况,10D 处由于Δv1 比Δv2 要小,测得的流速偏小,误差值变为负,而在5D 和20D 处,Δv1和Δv2 的大小关系正好相反,流速偏大,误差值为正,这表明二次流的水平误差跟安装位置有很大关系,甚至出现了误差正、负不同的情况。
对比不同下游缓冲管道,总体看来,随着流动的发展,二次流强度减弱,误差减小。但在Re 值29 000之前,5D 处的二次流垂直误差比10D 处大,在Re 值29 000之后,由于变化趋势不同,10D 处的误差超过了5D 处的误差。可见,并不是距离上游弯管越近,误差就越大。对比两种误差可见,二次流的垂直误差总体大于二次流的水平误差。
3.2 误差修正
实际测量场合下,流量计本身就是测量流速的,所以事先并不知道弯管下游的二次流强度,这导致研究人员在知道误差规律的情况下无法得知实际误差。针对该情况,结合流体经过弯管后的特点,本研究在流体弯管出口处的**和底端各设置一压力测试点,得到其出口处的压力差以反映二次流的强度。雷诺数与弯管出口压力如图9所示。由图9可见,压力差随着雷诺数的增大而增大,在实际安装场合,管道模型固定,由此,压力差可用来反映二次流的强度。将雷诺数用压力差表示,得到压力差跟二次流的垂直误差和水平误差的关系。将两种误差结合,可得二次流的总误差E总:
E总=Ea +Eb -Ea ×Eb (9)
压力差与总误差关系图如图10所示。终通过压力差来对弯管二次流误差进行修正,得出压力差与修正系数关系图。(本文由润中仪表科技整理发布,如您在使用仪表的过程中遇到任何问题,都可以致电我司的国内销售服务热线:0517-86917118,我们会有**人员为您答疑解惑)
上一条:双法兰差压变送器液位测量校验全面解析
下一条:对柴油流量计准确度产生影响的三个因素
- 相关文章
-
- 雷达液位计的作用 【2025-11-18】
- 雷达液位计使用注意事项 【2025-11-18】
- 雷达液位计安装注意事项全解析 【2025-11-14】
- 雷达液位计工作原理及相关说明 【2025-11-14】
- 磁浮子双色液位计在生产中使用的可行性方案分析 【2015-09-07】
- 用于污水流量测量的流量计选型要点及产品特点分析研究(上) 【2017-05-02】
- 如何选择适合自己的国产雷达液位计生产厂家? 【2025-05-04】
- 净化水处理行业在生产过程中对于浊度仪和显示仪表的选择择方案 【2016-10-04】
- 揭秘世界微小超声波传感器特性及超声波测量仪表的应用前景 【2015-10-13】
- 流量仪表测量技术研究目标的几点具体内容 【2016-06-03】








